[python] 백준 1325 : 효율적인 해킹(BFS)
1325번: 효율적인 해킹
첫째 줄에, N과 M이 들어온다. N은 10,000보다 작거나 같은 자연수, M은 100,000보다 작거나 같은 자연수이다. 둘째 줄부터 M개의 줄에 신뢰하는 관계가 A B와 같은 형식으로 들어오며, "A가 B를 신뢰한
www.acmicpc.net
실버 1
그래프, BFS
접근
문제를 잘못 이해해서 삽질을 많이 했다.
'A가 B를 신뢰하는 경우에는 B를 해킹하면, A도 해킹할 수 있다는 소리다.'를 잘 이해해야 한다.
양방향 그래프라는 말이 아니라, A가 B를 가리킬 때, B에서 A로 접근할 수 있는 간선이 존재한다는 말이다.
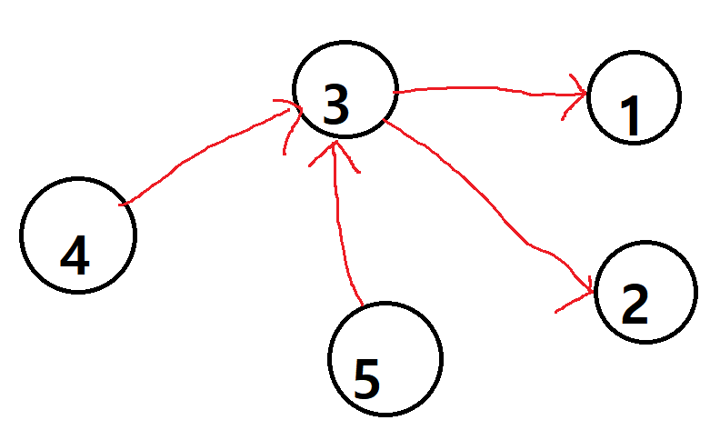
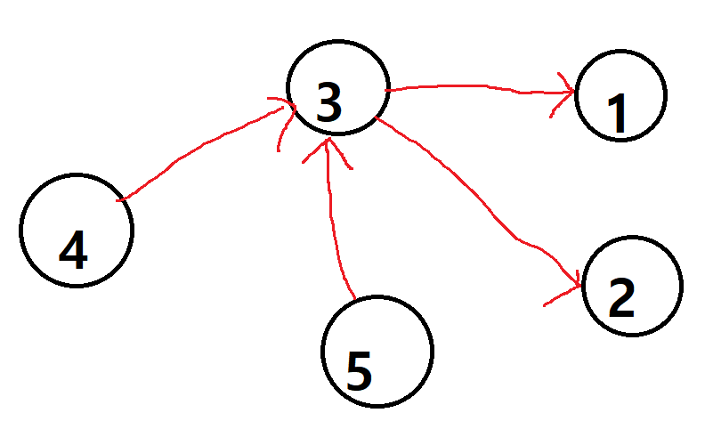
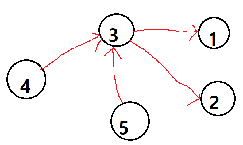
예제입력 부분을 보면
3 1
3 2
4 3
5 3
라고 나오는데 이를 단방향 그래프로 그려내면 다음과 같다.

보통 입력값을 3 1로 주면
x, y = map(int, input().split())
graph[x].append(y)의 형태로 3번 노드에 1번 노드를 연결하지만
A가 B를 가리킬 때, B에서 A로 접근할 수 있는 간선이 존재해야하므로 거꾸로 그래프를 넣어줘야한다.
graph[y].append(x)
화살표를 향하는 쪽으로 신뢰하기 때문에 신뢰받는 노드가 신뢰하는 노드를 역으로 해킹할 수 있게 된다.
따라서 1, 2노드는 3, 4, 5번을,
3번 노드는 4, 5번을 해킹할 수 있고
4, 5번 노드는 아무도 해킹할 수 없다.
코드
시간복잡도가 긴편이므로 Pypy3에 넣어도 간신히 통과한다. 느린 언어로는 아마 통과하지 못할듯?
import sys; input = sys.stdin.readline
from collections import deque
def bfs(node):
queue = deque([node])
visited = [0] * (N+1)
visited[node] = 1
cnt = 0
while queue:
v = queue.popleft()
for i in graph[v]:
if not visited[i]:
visited[i] = 1
queue.append(i)
cnt += 1
return cnt
N, M = map(int, input().split())
graph = [[] for _ in range(N+1)]
for _ in range(M):
x, y = map(int, input().split())
graph[y].append(x)
hack = []
max_hack = 0
for i in range(1, N+1):
h = bfs(i)
if h > max_hack:
max_hack = h
hack.append([i, h])
for i, cnt in hack:
if cnt == max_hack:
print(i, end = ' ')
어차피 1번부터 n번까지의 노드를 돌아가면서 bfs를 돌리기 때문에 나오는 순서대로 최댓값에 해당하는 노드를 출력하면 된다.
'알고리즘 문제 풀이' 카테고리의 다른 글
| [python] 백준 10610 : 30 (0) | 2022.05.07 |
|---|---|
| [python] 백준 1697 : 숨바꼭질 (0) | 2022.05.03 |
| [python] 백준 1743 : 음식물 피하기(BFS) (0) | 2022.04.28 |
| [python] 백준 18352 : 특정 거리의 도시 찾기(BFS) (0) | 2022.04.27 |
| [python] 백준 3036 : 링 (0) | 2022.04.19 |